本系列共三篇文章,旨在介绍如何使用 SYNOPSYS 的界面进行操作。本文以单透镜为例,介绍了设计透镜的基本过程,包括构建系统(第一部分)、分析其性能(第二部分),以及根据所需的指标和设计约束对其进行优化(第三部分)。
下载联系工作人员获取附件
简介这是由三篇文章组成的系列文章的第2部分。介绍了系统的布局图 (Layout),给出了系统的可视化表示,然后重点对点列图 (Spot Diagram)、光程差图 (OPD Fan) 和光线光扇图 (Ray Fan) 进行了分析,对系统的像差进行了评价,还解释了如何使用快速聚焦工具 (Quick Focus tool) 来更好地定位像面的位置。 在第一部分, 将讨论在 SYNOPSYS 中如何建立单透镜的三种方法。在第三部分,将讨论如何优化单透镜,在设计约束下获得更好的性能。本部分主要介绍了如何分析单透镜的性能。在优化之前评估系统性能
SYNOPSYS 中包含了许多不同的分析功能,每个功能都可以用来评估设计的性能。在此次练习中,将使用四种更基本、更常见的系统性能分析功能来评估优化之前的单透镜:

点列图 (Spot Diagram)、光程差图 (OPD Fan) 和光线光扇图 (Ray Fan) 是透镜设计者用来确定光学系统中存在的不同类型和不同程度像差的最重要的工具。
基于我们目前所搭建的设计,打开以上的每一个分析窗口来回顾当前镜头的性能。镜头文件“single lens.RLE”的 PAD 如下图所示,其他图形是点列图 (Spot Diagram)、光程差图 (OPD Fan) 和光线光扇图 (Ray Fan)。




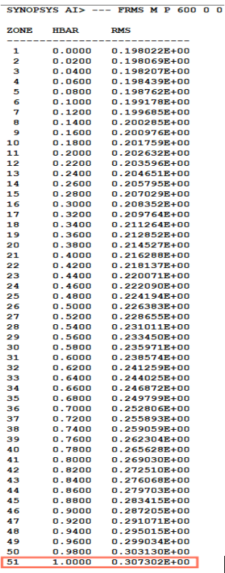
从以上四个图的评估中可以明显看出,单透镜设计有大量的像差,包括但不限于球差、彗差、畸变、离焦、场曲和像散。此外,根据下面点列图底部的数据可以看出,最大视场的 RMS 半径为: 307.302μm 。

使用快速聚焦工具
从四个分析功能给出的结果可以看出,单透镜在此时的性能肯定不是最优的。性能相当差的一个重要因素是像面位置的随机选择。从上面的布局图 (Layout) 来看,当前选择的像面并没有处于“最佳焦点”。
即使在优化之前,也可以使用 SYNOPSYS 中的工具来更好地定位当前像面的位置。该工具称为 RMS 聚焦 (Quick Focus)。RMS 聚焦是 SYNOPSYS 的一个功能,它可以调整像面之前表面的厚度,以使 RMS 像差最小。
可以通过选择像质分析 (Image Analysis) > RMS(RMS) > RMS 聚焦 (RMS focusing) 打开快速聚焦对话框。选择所要聚焦的波长和视场,进行聚焦分析。

单击运行 FOCUS 并关闭快速聚焦对话框。
在命令窗口输入 RMS P 1 600 0 0,可以查看1视场的 RMS 光斑大小。仅仅由于像面位置的改变,您就可以看到性能有相当大的变化。最重要的是,最大视场的 RMS 半径减小了近一半。

尽管设计比以前好,但仍有改进的空间。在如何设计单透镜,第三部分:优化,将解释如何设置和执行系统优化,使其达到更好的性能。