本系列共三篇文章,旨在介绍如何使用 SYNOPSYS 的界面进行操作。本文以单透镜为例,介绍了设计透镜的基本过程,包括构建系统(第一部分)、分析其性能(第二部分),以及根据所需的指标和设计约束对其进行优化(第三部分)。
点击文末【阅读原文】获取附件
简介
这是由三篇文章组成的系列文章的第三部分。介绍了优化的基本概念,演示了如何将参数设置为变量,展示了如何使用评价函数向导来评估设计的质量,并解释了如何执行优化本身。最后,本文对最终的系统性能进行了评估。
首先在系统参数中定义系统单位、镜头表面的数量以及镜头的名称。SYNOPSYS 的镜头单位有四种选择:英寸、毫米、厘米或米。就本设计而言,将使用毫米。对焦模式和光线追迹模式也可以在系统参数中设置。
在第一部分中,讨论了在 SYNOPSYS 中如何建立单透镜的三种方法。在第二部分中,讨论了一些可用于评估系统性能的分析。
设置变量和搭建默认评价函数
单透镜的性能当然是受限的,但是 SYNOPSYS 仍然可以找到比目前更好的解。在此过程中,确定当前设计具有多少自由度是很重要的。
为了允许 SYNOPSYS 在优化过程中将参数视为自由度,必须将参数设置成变量。您可以通过单击软件上方快捷键优化+设计搜索,选择优化,在步骤1、选项1中设置参数变量。在优化窗口右侧,同步出现优化宏命令,就代表参数变量已经设置完成。打开附件中的“001.RLE”文件,运行宏文件后对其镜头结构进行优化,设置变量的结果如下图所示:
一旦设置好变量,现在就可以构造默认的评价函数。通过点击:优化>步骤2、选项1,设置预定的评价函数。
评价函数 (Merit Function) 是光学系统与指定目标的接近程度的数值表示。在优化宏中,SYNOPSYS 使用宏命令操作,这些操作命令分别代表系统的不同约束或目标。当优化宏文件构建好后, SYNOPSYS 中的优化算法会尝试使评价函数的值尽可能小。
虽然您可以自己构建评价函数,但是让 SYNOPSYS 为您构建评价函数更加容易。默认的评价函数可以通过从优化选择步骤2中选项1:预定的评价函数来构建。构建的结果如下图所示:
选择此选项后,将出现各种评价函数,可以从中选择各种选项来定义默认的评价函数。
为了防止单透镜变得太厚或太薄,对该透镜的厚度设置边界约束是很重要的。在优化宏窗口中,可以在特殊变量部分设置玻璃和空气厚度的边界约束。通过“LLL”指令、“LUL”指令、“AEC”指令和“ACC”指令,可以将最小、最大和边缘厚度值手动输入到适当的条目中。如系统要求所述,单透镜中心厚度应不大于12 mm,不小于2 mm,边缘厚度应大于2 mm。在优化宏窗口中输入对应的指令,以获取最小、最大和边缘玻璃厚度条目。
由于是练习,所有其它参数都可以保留为默认值。下图是对透镜的厚度边界约束的结果:
执行优化
现在您将注意到,选择的评价函数已经自动转换成了相应的命令行。每个命令都有一个特定的目标、权重。下图是优化的宏文件:
在优化过程中,SYNOPSYS 降低这个评价函数值,这意味着使设计更接近优化宏中描述的目标。要优化系统,请选择启动优化>立即优化。SYNOPSYS 运行优化程序,直到它找到局部最小值,作为目前评价函数的解。
点击创建一个宏,可以将优化宏进行保存,方便以后调用。打开附件中的优化文件“002.MAC”,下图是优化的宏文件:

注意,SYNOPSYS 中 PAD 图下方的评价函数值的变化。按下运行按钮运行优化,注意评价函数值的变化:
评估最终的系统性能
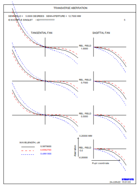
现在优化过程已经完成,可以评估最终的设计性能,并确保满足所有初始设计约束。光线像差如下图所示:
光程差如下图所示:
点列图如下图所示:
最终,SYNOPSYS 在初始系统需求中给出的约束条件下,对单透镜进行了优化。同样重要的是,SYNOPSYS 为镜头选择的厚度在预期范围内,边缘厚度大于2毫米,每一个都满足最初的系统需求。虽然单透镜的性能没有达到衍射极限,但设计的过程可以应用于更复杂的光学系统!
结论
本系列三篇文章概述了透镜设计的基本过程,分析了透镜的性能,并在一定的设计约束下进行了优化。
最佳练习方法是从在系统选项中输入适当的系统设置开始。之后,您可以开始在镜头数据编辑器中输入数据。确保对任何未知参数使用有根据的猜测和求解,这样优化就有了一个强有力的起点。然后,设置变量并进行优化。操作数可以手动输入到优化宏中,也可以通过预定评价函数输入,这些操作数将定义优化目标。通过降低评价函数值来逼近目标,可能需要多次优化。